안녕하세요. 오늘은 삼각형 구하는 공식에 대해서 이야기하도록 하겠습니다. 삼각형의 넓이를 구하는 공식은 중학교때 배우지만, 시간이 많이 지나가 기억이 안나는 경우가 있어서 정리를 해보도록 하겠습니다.

일반적인 삼각형의 경우 밑변(a) x 높이(h) / 2 를 하면 넓이를 구할 수 있습니다. 이 공식의 경우 밑변인 a 와 높이인 h가 서로 수직으로 만나기 때문에 직사각형의 넓이를 생각하면 a * h 가 되고, 이의 절반인 a * h / 2가 삼각형의 넓이가 되는 것입니다.

삼각함수를 이용한 방법으로 두변의 길이를 알고 그 사이 각도를 알때 구하는 방법입니다. 각 변의 길이를 a, b라고 하고 사이의 각도를 A라고 한다면 삼각형의 넓이는 a * b * sin(A) / 2 입니다.

a * sin(A) 가 삼각형의 높이가 되는 것입니다. 즉 1번 공식에서 h 가 a * sin(A)가 되는 것입니다.
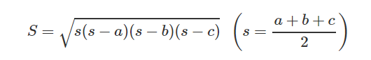
헤론의 공식은 중학교 수학시간에 배웠지만, 대부분 기억을 못하고 있는 공식입니다. 삼각형의 3변의 길이가 각각 a,b,c 라고 할 경우 다음과 같은 공식이 성립하게 됩니다.

| 근의 공식에 대해서 알아보자! 문제 풀이 적용 (0) | 2020.04.03 |
|---|---|
| 원과 직선이 만나는 점 찾기 (2) | 2020.01.25 |
| 한점에서 직선까지 거리 구하는 공식 (0) | 2020.01.22 |
| 수 체계에 대해서 알아보자. (0) | 2020.01.21 |
댓글 영역